JPEGLiveSource requires a very long time (from 10s up to more than minutes) to send the first LiveContentEvent callback

We are using the MIP SDK v.2.0 in our solution in order to exchange data between our systems. That means Ievents of our system can trigger events within the Milestone system.

The main problem we are facing is with the JPEGLiceSource returning the first callback of LiveContentEvent very slow (from 10s up to minutes). The SDK initialization and authentication perform quickly. Also, the JPEGLiveSource initialization.

Once the first event is received, everything works fine. Its just the first one which takes too long.

Any ideas?

I wonder if ​you’re using a dynamic GOP length such as with Axis Zipstream? I haven’t tested the behavior when Zipstream or a custom long gop length is enabled, but I’ve never seen it take more than second or so to establish a connection and get the first frame back.

Hi there!

It might be that there is an Axis issue like you describe but in general our customers describe the behavior with any manufacturer!

Any other idea?

Can you see this symptom in your test lab too? Or is this issue in the customer site only? Does the customer see the issue all the cameras?

Hello!

Yes, we can see this symptom in our test lab too. Maybe not that bad as the customers tell us, but anyway, it requires up to 40 seconds to get the first image in the test lab!
We don’t exactly know if ALL cameras are affected at the customers but it’s very likely and they tell us that the symptom appears throughout all manufacturers.

Best regards!

I am wondering that MIP SDK V.2.0 might be too old. Could you please use the latest MIP SDK and test it?

We already teste even the newest SDK and experienced the same behavior…

Hi. Can you please tell us which version of XProtect are you using? Are you using All-in-one installation or remote installation?

Also please provide camera information for further investigation.

Hello!

We will collect the requested information from our customers and come back to you ASAP.

Hello! Sorry for the long delay. We got some feedback from one of our customers. Please find the file attached.

I am sorry, we didn’t get details about the version used but we are still waiting for feedback from another customer.

BR

Have you seen the same issue when you use Smart Client?

Hi,

here is some information we got from one of our customers:
They don’t experience the issue when they use Milestone XProtect smart client on the same PC where our software is running.
Furthermore they were able to reduce the connection delay to about 1s by reducing the “Quality” to 30%, which is of course not a permanent solution for them. But maybe this information helps you?

In my eyes the issue is a .Net SDK issue only. Please correct me id I totally wrong …

BR from Salzburg

Hi,

Can you please send following screen captures to us?

Screen capture 1 [Settings]

Management Client – Servers – Recording Servers – select a camera – select “Settings” tab.

Screen capture 2 [Streams]

Management Client – Servers – Recording Servers – select a camera – select “Streams” tab.

Hi,

we will try to get the requested information as quick as possible from our customer.

BR

Hi,

please find the requested screenshots attached to this mail.

BR

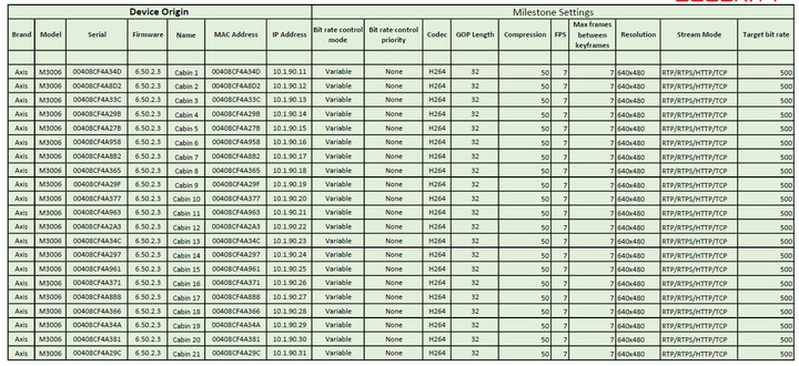
Can you please upload the pictures here?

Settings screen shot

Streams screen shot

We actually have no idea about this issue.. In the previous comment, you mentioned “reducing the “Quality” to 30%”, what does this mean? How and where did you change?

We have a setting in our software that was used to reduce the compression of the JPEGLiveSource to 30%.